CAS 80522-42-5, Cat. No EN300-6762257
Reagent for silylation
CAS 181934-30-5, Cat. No EN300-152972
Reagent for alkynylation
CAS 26189-59-3, Cat. No EN300-367467
Reagent for chlorination and cyclization
CAS 996-50-9, Cat. No EN300-214831
Reagent for trimethylsilylation
CAS 887144-97-0, Cat. No EN300-195971
Reagent for trifluoromethylation
CAS 887144-94-7, Cat. No EN300-136055
Reagent for trifluoromethylation
CAS 36635-61-7, Cat. No EN300-36947
Reagent for cyanation of carbonyl compounds and N-heterocycles synthesis
CAS 255825-38-8, Cat. No EN300-7375572
Reagent for peptide synthesis
CAS 4781-83-3, Cat. No EN300-211426
Reagent for thiolation of primary amines
CAS 100045-83-8, Cat. No EN300-18631891
Reagent for synthesis of MOM-protected alcohols
CAS 1186018-19-8, Cat. No EN300-46591695
Reagent for amination of thioethers and sulfoxides
CAS 87-90-1, Cat. No EN300-120673
Reagent for chlorination and oxidation
CAS 867-13-0, Cat. No EN300-52552
Reagent for Horner–Wadsworth–Emmons reaction
CAS 2230030-49-4, Cat. No EN300-46765579
Reagent for photocatalytic cyclopropanation
CAS 433-06-7, Cat. No EN300-30885
Reagent for trifluoroethylation
CAS 55168-74-6, Cat. No EN300-221426
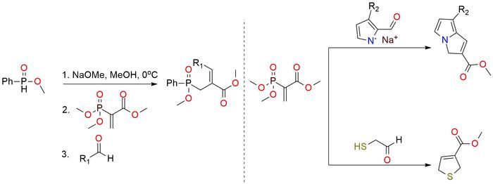
Michael acceptor and a phosphonate anion source
CAS 17067-99-1, Cat. No EN300-7130919
Reagent for cyclopropanation
CAS 27607-77-8, Cat. No EN300-37509
Reagent for silylation
CAS 87576-94-1, Cat. No EN300-174337
Reagent for cycloaddition and nucleophilic nitrogen source
CAS 30718-17-3, Cat. No EN300-7579882
Reagent for heterocyclization, formamidines and thioformimidates synthesis