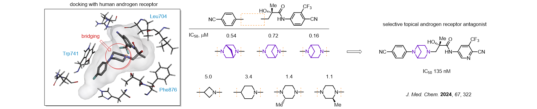
Bridging has demonstrated exceptional success in optimizing piperazine linkers across a range of drugs and lead molecules. These structural motifs effectively constrain molecular conformation variability, achieving this with only a minimal increase in molecular volume and weight. Interestingly, recent studies reveal that bridging can, somewhat counterintuitively, reduce a compound’s lipophilicity even as molecular weight increases. Try Enamine’s collection of bridged piperazine molecular scaffolds!

Case study
Download SD files
Download PDF file
We offer
Over 100 bridged piperazines from stock on 5-10 gram scale.

